BPMN Level 2 - Part 1

Small Scope: Events and Tasks

Small Scope

Events

Intermediate Events

  • Triggered when something happens during the process' execution

    • Which is not the start or end of a process (branch)

  • Two flavours:

    • Inline events

    • Boundary events

  • Can also be none (abstract), or typed

Drawing Intermediate Events

background

Revisiting Level 1 Event Types

  • Can be used as intermediate events

    • None

    • Message (send and receive)

    • Timer

    • There is no terminate intermediate or boundary event

Inline Intermediate Events

  • Triggered on a sequence flow

  • Catching: block the control flow until triggered

  • Throwing: emit immediately and complete

bpmn level 2 intermediate events inline level 1

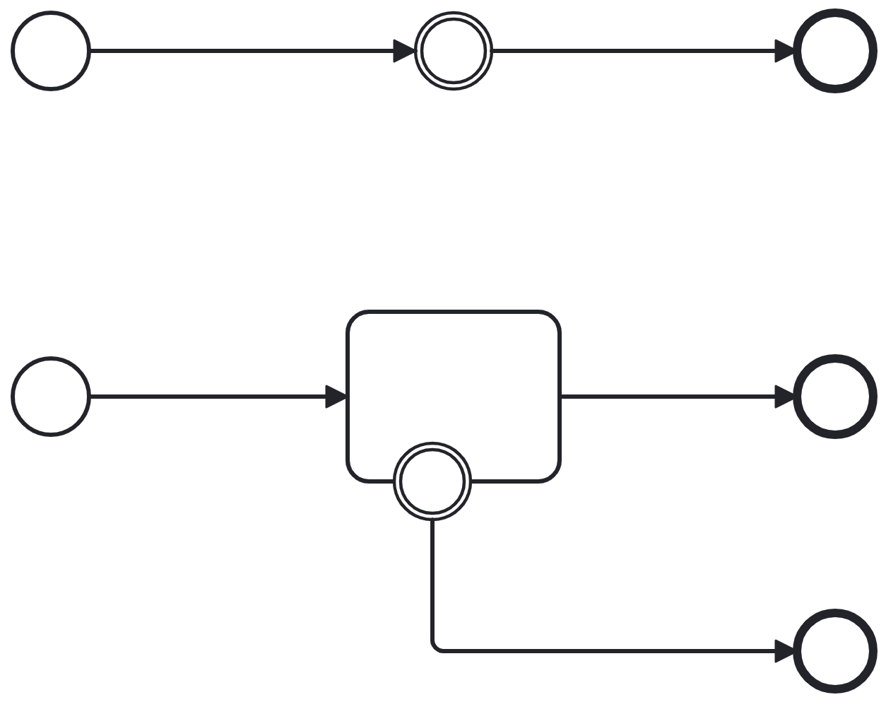
Boundary Events

  • Attached to the boundary (border) of an activity: task or process

  • Always catching an event

  • Can occur until the activity completes[1]

    • Interrupting (filled double border): cancel the activity and leave from event

    • Non-interrupting (dashed double border): continue the activity but also leave additional flow from event

bpmn level 2 intermediate events boundary level 1

New Event Types at Level 2

  • Conditional

  • Escalation

  • Signal

Conditional Event

  • Used to model a data condition that is monitored until it is true

  • When the condition is true, the event fires, once

  • Can be used as a start event, inline catching and boundary interrupting and non-interrupting

  • No throwing variants

bpmn level 2 conditional events

Conditional Event Example

background

Escalation Event

  • Signifies a possible situation that escalates from an activity (task or subprocess)

  • Can be used as intermediate event: throwing and boundary interrupting or non-interrupting

    • Most useful boundary variety is non-interrupting, distinguishing it from error [2]

    • Typical application is ad-hoc action by the performer of a user task

bpmn level 2 escalation events

Escalation: User Task Escalation

background

Escalation: User Task Escalation

background

Escalation: Sub Process Throw - Catch

background

Signal Event

  • Catches or throws a signal that is broadcast to any number of interested listeners (publish/subscribe)

    • Decouples sender and receiver; no need to know each other

    • No guarantee that there is a listener; be careful!

  • Can be used:

    • As start event (catching)

    • As end event (throwing)

    • As intermediate event (all flavours)

  • Often used between process models and/or fragments

  • The only way to communicate between parallel branches (messaging not allowed!)

bpmn level 2 signal events

Signals: Starting Process Instances

background

Signals: Synchronising Parallel Execution

background

Signals: Handling Events with Parallel Execution

background

Other Event Types

  • Link

  • Multiple

  • Multiple Parallel

  • Used to link two disjointed parts of a model

  • Mainly used for readability

  • No execution semantics

  • Think of it as a virtual sequence flow, chopped into two pieces

  • If you need it, re-think your process model and/or scope 😉

bpmn level 2 link events
bpmn level 2 link events loopback

Multiple Event

  • Catching: only one of the events needed to trigger

  • Throwing: all of the events are triggered

  • Avoid using multiple events

    • Details are hidden

    • Unintuitive

    • Efficiency gains (compacter models) are outweighed by ambiguity

bpmn level 2 multiple events 1
bpmn level 2 multiple events 2

Multiple Parallel

  • Catching: all of the events needed to trigger

  • Throwing: no throwing variant

  • Avoid using multiple parallel events for the same reasons as multiple events

bpmn level 2 multiple parallel events 1
bpmn level 2 multiple parallel events 2

Small Scope

Tasks

Level 1 Tasks Recap

  • User Task: Allow a user to complete a piece of work

  • Service Task: Execute an automated task with a service

  • Call Activity: Start and execute a process from another process model

bpmn level 2 level 1 tasks recap

New Task Types at Level 2

  • Send Task

  • Receive Task

  • Business Rule Task

  • Script Task

  • Manual Task

Send and Receive Task

  • Send Task: Task that sends a message to another process

  • Receive Task: Task that waits for a message from another process before execution is continued

  • Asynchronous communication without other processes can be modelled with send and receive tasks

bpmn level 2 send receive tasks

Send and Receive Tasks

bpmn level 2 send receive tasks dinner

Birds of a Feather

  • Send tasks and message intermediate throw events do the same

  • Receive tasks and message intermediate catch events do the same

  • Main differences

    • A task can have a boundary event

    • A task can be executed multiple times[3]

bpmn level 2 birds of a feather

Business Rule Task

  • Activity that executes a business rule

  • Useful to link BPMN models to DMN models

  • Result of the business rule can be sent back to the process

  • Often precedes a gateway that acts on the outcome

  • Always requires proprietary extensions for invocation

bpmn level 2 business rule tasks

Business Rule Tasks

bpmn level 2 business rule tasks invite to movie

Script Task

  • Executes a script from the process engine

    • Typically implemented with a scripting language, such as Javascript, Groovy, etc…​

  • Most useful for small logic snippets within process' context

    • Variable calculations

    • Data transformations

bpmn level 2 script tasks

Script Tasks

bpmn level 2 script tasks create essay

Manual Task

  • Describes an activity that is not executed as part of the process engine’s execution

  • In an executable process: pass-through

  • Differs from a user task: a user task requires human interaction before completion, a manual task only suggests some activity which is not controlled by a process engine

bpmn level 2 manual tasks

Manual Tasks

bpmn level 2 manual tasks make to order

Small Scope

Method & Style

Method & Style

  • From Level 1 → Level 2: Type the events and tasks (and gateways 😉)

  • Specify all relevant activities and events

  • Reconsider when you feel the need to go for a multiple event

Events

  • Conditional events: name signifies the condition monitored

  • Link events, Signal events, Escalation events: labels of corresponding throw and catch should match

Tasks

  • Script and manual tasks

    • Only used in executable processes

    • More (complex) logic? Use a service task instead

  • Business rule tasks

    • Consider a business rule task even when not using a DMN model

  • Send and receive tasks

    • Use a task instead of event if you would like to express some activity going on as opposed to plain messaging

Questions

background

1. The activity provides the scope for which the event can be triggered
2. Error events are discussed later on
3. Repeating tasks and other activities will be discussed in a later section